2012年4月自考《管理心理学》串讲笔记十一
第三节 激励理论及其应用
一、内容型激励理论
内容型激励理论把需要作为研究的基础,着重研究激发动机的因素——人的需要的内容、类型、结构、特征及其动力作用。
1、马斯洛的需要层次论
(1)各需要层次之间的关系是逐级上升的,更基本的生理和安全需要得到满足后,高层次的需要才能依次出现和满足。
(2)在同一时期内,可以同时存在几种需要。人的行为总是受多种需要支配的。但是,人的5种需要在不同年龄段和不同的社会生活条件下,总有某一种需要处在优势地位,即主导需要,推动人的行为。
「例题」需要层次论认为人的行为是( )
A.由生理需要决定的 B.由优势需要决定的
C.由安全需要决定的 D.由社交需要决定的
答案:B
★ 需要层次理论在企业管理中的应用
需要层次理论的启示:
①需要层次的划分,有利于我们对人类行为动机的研究,以便揭示人的行为被激励的规律。
②他把人的生理需要作为正常需要基础,符合马克思主义关于人的基本需要的观点。
③他强调需要与动机在人类行为中的作用,有别于“本能论”与行为主义“机械论”观点。
④马斯洛从个体发展的角度考察人的本质,提出自我实现的积极人性观点与人格特征,以及自我实现的途径,这对于现代企业员工尤其是知识型员工的成长与发展有重要借鉴意义。
⑤其社交、尊重、求职、审美等需要对白领阶层与知识型员工来说是极其重要的动力和激励要素。
2、奥德弗的“生存、关系、成长”(ERG)需要理论
生存需要:维持人的生命存在的需要——生理需要、安全需要。
关系需要:个体对社交、人际关系和谐及相互尊重的需要——社交需要、尊重需要。
成长需要:个体要求得到提高和发展,取得尊重、自信、自主及充分发挥自己能力的需要——尊重需要、自我实现需要。
ERG理论对马斯洛的需要理论作了修正
①愿望加强律:各个层次的需要得到的满足越少,则满足这种需要的渴望就越大。
②满足前进率:较低层次的需要得到越多的满足,则该需要的重要性就越差,满足高层次需要的渴望就越大。
③受挫回归率:当较高层次的需要受到挫折,得不到满足时,人们就会退而求其次,对较低层次的需要的渴求就越大。
3、赫茨伯格的双因素理论:激励——保健因素理论
(1)双因素的划分
公司的政策和行政管理、政策监督系统、人际关系(与上级、下级等)、工资、工作安全性、个人的生活、工作环境等。这些工作条件和工作环境不具备时,会引起员工的不满意,即使具备这些条件,也只会使员工没有不满意,而不会使员工满意,他把这些工作本身之外的环境和条件成为“保健性因素”。
工作富有成就感、工作成绩能得到承认、工作本身富有挑战性、个人成长发展的可能性、职位升迁等。这些工作本身因素的改善,能激励员工的积极性和热情,从而会经常提高一个人的工作效率;如果处理不好,也能引起员工的不满,但是影响并不大,把这些工作本身的因素成为“激励因素”。
(2)双因素理论的基本观点
①双因素的性质:满意因素主要与工作任务本身相关;不满意因素则与工作环境条件相关。
②双因素的作用:满意因素可激发人们在工作中努力进取,形成积极向上的工作态度,所以称之为“激励因素”。
不满因素可以预防出现不满或消除职工的不满意感,所以被称为“保健因素”。
③双因素的需要结构:激励因素内涵是个人成长和自我实现的需要。
保健因素内涵是个人避免不满意的需要。
④双因素的非对应关系:导致工作满意感的因素与导致工作不满意的因素二者之间的关系是不对应关系。从不满意到非常满意的转化,要经过保健因素从负向正价转化,以及激励因素从负向正价的转化。
(3)双因素理论对企业管理的借鉴意义:
①企业应重视保健因素的作用,创造良好的保健环境与条件,可以消除负面情绪,提高员工的激励水平;
②有效的管理应在保健因素的基础上,多采用工作丰富化、自主性、挑战性、成就与创造性等方式,能使工作本身成为一种强有力的激励因素。
③要使工资与奖金分开,两者都成为激励因素。
4、麦克莱兰的成就需要理论
麦克莱兰将人的高级需要分为权力需要、归属需要、成就需要,个体在工作情境中有这三种需要或动机。
★ 权力需要:权力需要是影响和控制他人且不受他人控制的欲望。具有较高全力需要的人对影响和控制别人表现出很大的兴趣,这种人总是追求领导者的地位。
归属需要:归属需要是指建立友好和亲密的人际关系的欲望。具有高归属需要的人努力寻求有爱,喜欢合作性的而非竞争性的环境,渴望有高度相互理解的关系。
★ 成就需要:成就需要是追求卓越以实现目标的内驱力。具有高成就需要的人通常具有下列四个特点:
①事业心强,比较实际,敢冒一定程度的风险;②有较高的实际工作绩效,要求及时得到工作的信息反馈;③一旦选定目标,就会全力以赴投入工作,直至成功的完成任务;④把个人成就看得比金钱更重要,从工作成就中得到的鼓励往往超过物质鼓励的作用,并把报酬看作是对个人成就的一种承认。高成就需要的人才可以通过教育加以培养。
二、过程型激励理论
过程型激励理论着重对行为目标的选择(即动机的形成过程)进行研究。
1、弗鲁姆的期望理论
人们采取某项行动的动力或激励力取决于其对行动结果的价值评价和预期达成该结果可能性的估计。
★ M=f(E·V)
M:激励力量,即动力大小;
V:目标效价,个人对目标的重要性的评价;
E:期望值,个人主观判断达成目标的可能性的大小。
期望理论的简化模型:
个人努力——个人成绩(绩效)——组织奖励(报酬)——个人需要
★ 根据期望理论的简化模型,为了激励员工的动机,对人员管理要处理好下面几种关系:
①提高职工的期望水平,解决职工个人努力与工作成绩的关系。
②提高关联性(或工具价值)的认可,解决职工的工作成绩与奖励的关系。
③提高效价水平,解决对职工的奖励与满足个人需要的关系。
④不应脱离实际拔高期望值、效价与关联性的作用,否则会适得其反。
「例题」弗鲁姆的期望理论认为,影响激励程度的因素主要是期望值和( )
A.需要 B.动机
C.人格 D.效价
答案:D
2、豪斯的综合激励理论
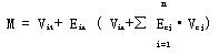
★ 激励力量=工作任务的内在激励+工作任务完成的激励+任务完成成果的奖酬激励
员工受激励的大小取决于三个因素:一是工作任务适合于本人干,本人也爱干;二是完成任务既有重要意义,也有把握;三是完成任务后,他感到报酬不错。

M:某项工作任务的激励水平的高低,即动力的大小;
Vit:工作任务本身所提供的效价,它所引起的内激励不计任务完成与否及其结果如何,故不包括期望值大小的因素,即期望值为1;
Eia:完成任务内在的期望值,也就是主观上对完成任务可能性的估计;
Via:完成任务的效价;
Eej:完成工作任务能否获得某项外在奖励的期望值;
Vej:某项外在奖励的效价。
公式展开,包括三项内容,对应定义:①Vit表示工作任务本身的效价,即这项工作本身的内激励力的大小;
② Eia· Via表示工作任务完成(期望值与效价乘积)所引起的内激励作用;③
表示各种外在奖酬所引起的激励效果之和。
★ 综合激励模式与管理
豪斯的公式强调了任务本身效价的内激励作用;突出了完成工作任务内在的期望值与效价;兼顾了因任务完成而获取外在奖酬所引起的激励,对分析激发工作动机的复杂性和提高激励水平,具有参考价值,对管理者也具有很大的启发意义,即要提高人们的积极性,必须从内、外激励两个方面入手,并将两者结合起来。
(1)提高内激励水平。内激励因素有:工作任务本身的效价(Vit)、完成工作任务的效价(Via)和完成工作任务的期望值(Eia)
(2)提高外在激励。外激励因素有:完成任务的期望值(Eia)、完成任务能否获得外在奖励的期望(Eej)、外在奖励的效价(Vej)。
3、亚当斯的公平理论
员工的工作动机,不仅受自己所得绝对报酬的影响,而且受到相对报酬(即与他人相比较或与自己过去相比较的报酬)影响。对自己报酬的知觉和比较所引起的认知失调,导致当事人的心理失衡,即不公平感和心理紧张。为减轻或消除这种心里紧张,当事人会采取某种行动,以恢复心理平衡。如果对报酬感到公平,当事人就会获得满足感,从而激励当事人的行为。
当事人用来比较的对象主要有自己(自我比较)和他人(社会比较)两种。
★ 亚当斯公平理论模式:
I:员工的投入包括教育、技能、工作经验、努力程度和花费的时间;
O:报酬包括薪酬、福利、成就感、认同感、工作的挑战性、职业前程等外在和内在的报偿。
(1)OA/IA
(2)OA/IA=OB/IB:公平(报酬合适)——满意(行为没有改变);
(3)OA/IA>OB/IB:不公平(报酬过高)——减少结果或增加投入。
★公平理论在企业薪酬管理中的应用应注意:
①建立绩效考核与按劳分配相联系的报酬体系;
②确保薪酬政策的内部一致性;
③做到男女同工同酬,它也是薪酬政策内部一致性的表现;
④保持本组织薪酬水平与其他组织薪酬水平相比较时的竞争力;
⑤保证员工的薪酬逐年得到增长,特别是扣除物价指数增长之外,还略有增长;
⑥在坚持公平原则的基础上,要坚持效率优先的原则,具体体现在分配上,主要以绩效为基础。
三、行为矫正理论——条件反射的强化理论
强化理论着重对如何达到激励的目的,即调整和转化人的行为进行研究。
斯金纳的行为主义:人的行为只是对外部环境刺激所作的反应,只要创造和改变外部的操作条件,人的行为就会随之改变。强化是条件反射理论的核心概念
★ 强化:某个刺激对有机体某种行为反应之间联系的增强作用或减弱作用。
强化的公式如下:刺激(S)-反应(R)-奖惩(正负强化)-导致行为的增强或减弱
(1)强化的基本方式与种类:
正强化:某种行为之后伴有某种有利的结果。如努力工作后得到晋升。赞赏、认同、奖励
负强化:某一行为之后不再伴有某种不利结果。如努力工作后不再追究以前的过错。
惩罚:某一行为之后伴有某种不利结果。迟到扣全勤奖。
消退:某一行为之后不再伴有某种有利结果。做了好事不再被表扬。
「例题」美国心理学家斯金纳的强化理论认为基本的强化手段包括( ) (多选)
A.正强化 B.负强化
C.惩罚 D.消退
E.攻击
答案:ABCD
(2)强化管理的原则:
①要依照强化对象的不同采用因人而异的原则。
②小步子前进,分阶段设立目标与强化的原则。
③及时反馈的原则。
④不固定时间、频率、间隔的强化原则。
⑤正强化比负强化更有效的原则
「案例」日本一家公司对员工强化激励方法与效果进行分析:如下表所示,对员工的表扬奖励、采用公开的方式较好,对员工的批评指责和体罚采取个别单独的方式比较好。
(3)强化管理的实际应用,关键在于如何使强化机制有效协调运转并产生整体效应。应注意:
①应以正强化为主。
②采用负强化(尤其是惩罚)手段要慎重。
③注意强化的时效性。
④因人制宜,采用不同的强化方式。
⑤利用信息反馈增强强化的效果。




