学历改变命运
24小时客服:4008135555/010-82335555
当前位置:首页> 公共课 > 自考《线性代数(经管类)》试题练习:矩阵

自考《线性代数(经管类)》试题练习:矩阵与行列式数乘(6.27)

2014年06月27日    来源: 自考365   字体:   打印
报名时间

  单选题

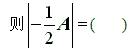
  [2011.10]设3阶方阵A的行列式为2,

  A.-1

  B.-1/4

  C.1/4

  D.1

  
新人有礼