学历改变命运
24小时客服:4008135555/010-82335555
当前位置:首页> 大学语文 > 自考《线性代数(经管类)》试题练习:方阵

自考《线性代数(经管类)》试题练习:方阵的特征(6.11)

2014年06月11日    来源: 自考365   字体:   打印
报名时间

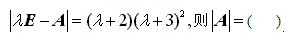
  单选题

  [2011.10]设3阶方阵A的特征多项式为

  A.-18

  B.-6

  C.6

  D.18

  
新人有礼