单选题
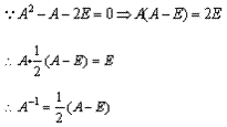
若A2-A-2E=0,则A-1=( )。
A.A+E
B.1/2(A-E)
C.A-E
D.A2-2E
正确答案:B
答案解析:本题考查矩阵逆的求法。
查看专家点评、以往试题可进入“每日一练——免费在线测试系统”>>
扫码领取试题答案及解析
报考咨询
免费资料
学习交流
扫一扫,立即下载
安卓版本:7.6.6
苹果版本:7.6.5
开发者:北京远程叁陆伍科技有限公司
应用涉及权限:查看权限>>
APP隐私策略:查看政策>>
扫一扫,立即关注
扫码进群/领资料