单选题
1.[2009年1月]
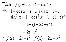
设f(1-cos x)=sin2x, 则f(x)=( )
A.x2+2x
B.x2-2x
C.-x2+2x
D.-x2-2x
正确答案:C
答案解析:本题考察函数综合性质。
查看专家点评、以往试题可进入“每日一练——免费在线测试系统”>>
扫码领取试题答案及解析
报考咨询
免费资料
学习交流
扫一扫,立即下载
安卓版本:7.6.6
苹果版本:7.6.5
开发者:北京远程叁陆伍科技有限公司
应用涉及权限:查看权限>>
APP隐私策略:查看政策>>
扫一扫,立即关注
扫码进群/领资料