学历改变命运
24小时客服:4008135555/010-82335555
当前位置:首页> 公共课 > 自考《高等数学(一)》试题练习:全微分与

自考《高等数学(一)》试题练习:全微分与二阶偏导数计算(6.27)

2013年06月27日    来源: 自考365   字体:   打印
报名时间

  单选题

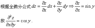
  1.[2010年10月]

  

  A.-sin x

  B.sin y

  C.cosx

  D.cosy

       

  查看专家点评以往试题可进入“每日一练——免费在线测试系统”>>

新人有礼