学历改变命运
24小时客服:4008135555/010-82335555
当前位置:首页> 公共课 > 自考《线性代数(经管类)》试题练习:行列

自考《线性代数(经管类)》试题练习:行列式(5.24)

2013年05月24日    来源: 自考365   字体:   打印
报名时间

  单选题

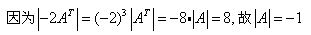
  1.设3阶矩阵A的行列式()。

  A.4

  B.1

  C.-1

  D.-4

      

  查看专家点评以往试题可进入“每日一练——免费在线测试系统”>>

新人有礼