学历改变命运
24小时客服:4008135555/010-82335555
当前位置:首页> 公共课 > 自考《高等数学(工专)》试题练习:反函数

自考《高等数学(工专)》试题练习:反函数概念(5.20)

2013年05月20日    来源: 自考365   字体:   打印
报名时间

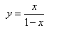
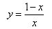
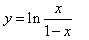
  单选题

  

  A.

  B.

  C.

  D.

      

  查看专家点评以往试题可进入“每日一练——免费在线测试系统”>>

新人有礼