学历改变命运
24小时客服:4008135555/010-82335555
当前位置:首页> 公共课 > 自考《高等数学(工专)》试题练习:分部积

自考《高等数学(工专)》试题练习:分部积分法(5.30)

2013年05月30日    来源: 自考365   字体:   打印
报名时间

  单选题

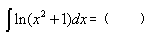
  1.

  A.

  B.

  C.

  D.

       

  查看专家点评以往试题可进入“每日一练——免费在线测试系统”>>

新人有礼