学历改变命运
24小时客服:4008135555/010-82335555
当前位置:首页> 公共课 > 自考《线性代数(经管类)》试题练习:逆矩

自考《线性代数(经管类)》试题练习:逆矩阵(3.29)

2013年03月29日    来源: 自考365   字体:   打印
报名时间

  单选题

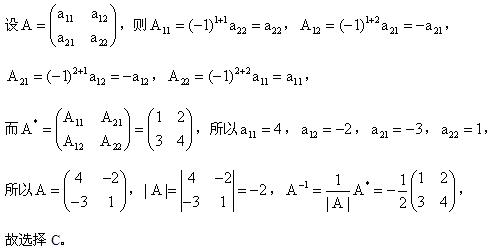
  1.[2010.10]设

  

  A.

  B.

  C.

  D.

       

  查看专家点评以往试题可进入“每日一练——免费在线测试系统”>>

新人有礼