学历改变命运
24小时客服:4008135555/010-82335555
当前位置:首页> 公共课 > 2013年自考《高等数学(工专)》每日一练(

2013年自考《高等数学(工专)》每日一练(2.6)

2013年02月06日    来源: 自考365   字体:   打印
报名时间

  单选题

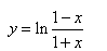
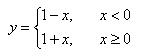
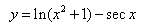
  1.下列函数中是奇函数的为( )

  A.

  B.

  C.

  D.

       

  查看专家点评以往试题可进入“每日一练——免费在线测试系统”>>

新人有礼