2013年自考《高等数学(工专)》每日一练(1.14)
单选题
1.当x→0时,xln(x+1)是( )
A.与x sin x等价的无穷小
B.与x sin x同阶非等价的无穷小
C.比x sin x高阶的无穷小
D.比x sin x低阶的无穷小
正确答案:A
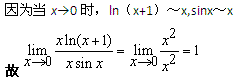
答案解析:
编辑推荐
单选题
1.当x→0时,xln(x+1)是( )
A.与x sin x等价的无穷小
B.与x sin x同阶非等价的无穷小
C.比x sin x高阶的无穷小
D.比x sin x低阶的无穷小
正确答案:A
答案解析: