学历改变命运
24小时客服:4008135555/010-82335555
当前位置:首页> 公共课 > 2012年自考《高等数学(一)》每日一练(10

2012年自考《高等数学(一)》每日一练(10.26)

2012年10月26日    来源: 自考365   字体:   打印
10月16日习概直播!梳理预测考点 轻松拿捏自考

  单选题

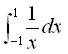
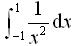
  1.[2012.04]下列积分中可直接用牛顿-莱布尼茨公式计算的是( )。

  A.

  B.

  C.

  D.

       

  查看专家点评以往试题可进入“每日一练——免费在线测试系统”>>

自考交流群

扫码领取试题答案及解析

新人有礼