2012年自考《线性代数(经管类)》每日一练(9.6)
单选题
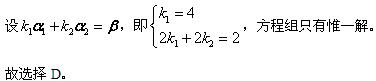
1、【2010.10】设向量组α1=(1,2), α2=(0,2),β=(4,2),则 ( )。
A.α1,α2,β线性无关
B.β不能由α1,α2线性表示
C.β可由α1,α2线性表示,但表示法不惟一
D.β可由α1,α2线性表示,且表示法惟一
正确答案: D
答案解析:

编辑推荐
单选题
1、【2010.10】设向量组α1=(1,2), α2=(0,2),β=(4,2),则 ( )。
A.α1,α2,β线性无关
B.β不能由α1,α2线性表示
C.β可由α1,α2线性表示,但表示法不惟一
D.β可由α1,α2线性表示,且表示法惟一
正确答案: D
答案解析:
