2023年10月湖南自考课程安排及教材目录
各市州教育考试院,各主考学校:
按照教育部教育考试院《关于2023年高等教育自学考试全国统考课程安排有关事项的通知》(教考院函〔2022〕90号)要求,结合我省实际情况,现将2023年10月全省高等教育自学考试课程安排及教材目录印发给你们,并就有关事项通知如下:
一、考试时间安排
二、考试课程安排及教材目录
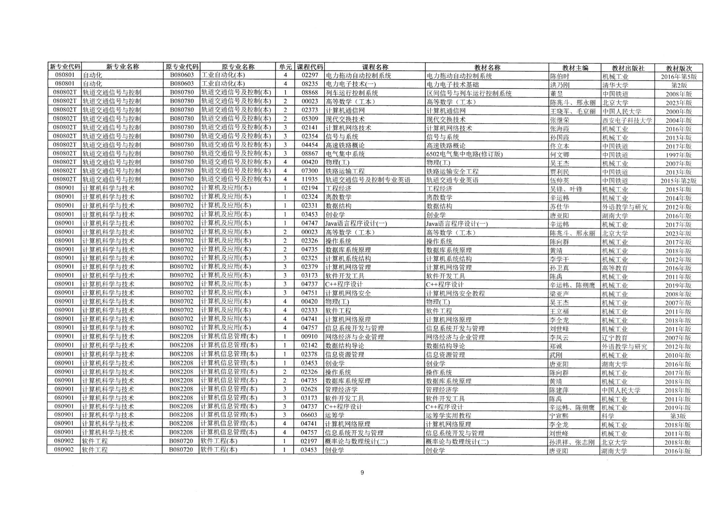
2023年10月全省高等教育自学考试共安排744门考试课程,其中包括22门实操设计类课程(课程名称标注了”◆“的课程)。详细内容见《2023年10月全省高等教育自学考试课程安排及教材目录(含实操设计类课程)》(点击下载附件)。其中,高等数学(工专)(00022)、高等数学(工本)(00023)、概率论与数理统计(经管类)(04183)和线性代数(经管类)(04184)启用新大纲及教材。
三、上述考试课程安排及教材目录将在湖南省高等教育自学考试自助服务系统(http://zikao.hneao.cn/net)中发布。目录发布后如仍有因教材出版社断供造成个别课程教材发生变更的,我院将在自助服务系统中另行发布变更通知。各有关单位要严格按照考试课程安排及指定教材版本组织教学,严格按照目录指定的教材名称、作者、出版社以及版次向考生供应教材,不得使用其他版本的教材及盗版教材。教材订购事宜可联系高等教育出版社等授权的北京培深文化有限公司长沙分公司,电话0731-82233191,地址:长沙市芙蓉区文艺路街道人民中路65号东二楼二层东侧(湖南省建筑设计院内),也可通过其他渠道订购。
各单位必须严格按照本通知要求,科学安排教学计划,指导考生报考。实施过程中如发现问题,请及时与我院自考处联系。电话号码:0731-88090243
点击查看:2023年10月湖南自考专业考试课程安排和指定教材调整及部分课程的指定教材版次更新的通知
点击下方图片即可查看原图
↓↓↓
热点推荐:各省市2023年自考考试安排汇总
- 热门课程
- 报名咨询
- 历年试题
- 备考资料
































