学历改变命运
24小时客服:4008135555/010-82335555
当前位置:首页> 大学语文 > 自考《高等数学(工专)》试题练习:分部积

自考《高等数学(工专)》试题练习:分部积分法(11.9)

2013年11月09日    来源: 自考365   字体:   打印
成绩查询

  单选题

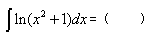
  1.

  A.

  B.

  C.

  D.

  

关注添加

扫码加入备考交流群

与更多考生一起交流学习经验
备战考试,获取试题及资料

扫码下载APP

海量历年试题、备考资料
免费下载领取

扫码进入微信小程序

每日练题巩固、考前模拟实战
免费体验自考365海量试题

新人有礼