学历改变命运
24小时客服:4008135555/010-82335555
当前位置:首页> 大学语文 > 自考《线性代数(经管类)》试题练习:矩阵

自考《线性代数(经管类)》试题练习:矩阵与对角矩阵的概念(9.12)

2013年09月12日    来源: 自考365   字体:   打印
成绩查询

  单选题

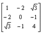
  1.下列矩阵必相似于对角矩阵的是( )

  A.

  B.

  C.

  D.

  

关注添加

扫码加入备考交流群

与更多考生一起交流学习经验
备战考试,获取试题及资料

扫码下载APP

海量历年试题、备考资料
免费下载领取

扫码进入微信小程序

每日练题巩固、考前模拟实战
免费体验自考365海量试题

新人有礼