学历改变命运
24小时客服:4008135555/010-82335555
当前位置:首页> 大学语文 > 自考《高等数学(一)》试题练习:分段函数

自考《高等数学(一)》试题练习:分段函数分段点处可导的判断(3.16)

2014年03月16日    来源: 自考365   字体:   打印
成绩查询

  单选题

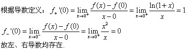
  1.[2012年1月]

  

  A.左导数存在,右导数不存在

  B.左导数不存在,右导数存在

  C.左、右导数都存在

  D.左、右导数都不存在

  

关注添加

扫码加入备考交流群

与更多考生一起交流学习经验
备战考试,获取试题及资料

扫码下载APP

海量历年试题、备考资料
免费下载领取

扫码进入微信小程序

每日练题巩固、考前模拟实战
免费体验自考365海量试题

新人有礼