学历改变命运
24小时客服:4008135555/010-82335555
当前位置:首页> 大学语文 > 自考《概率论与数理统计(经管类)》试题练

自考《概率论与数理统计(经管类)》试题练习:方差的计算(2.6)

2014年02月06日    来源: 自考365   字体:   打印
成绩查询

  单选题

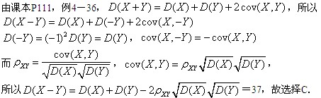
  1.[2011年7月]

  设随机变量X,Y的方差分别是:D(X)= 25,D(Y)= 36,相关系数ρxy=0.4,

  则D(X-Y)=

  A.85

  B.61

  C.37

  D.24

  

关注添加

扫码加入备考交流群

与更多考生一起交流学习经验
备战考试,获取试题及资料

扫码下载APP

海量历年试题、备考资料
免费下载领取

扫码进入微信小程序

每日练题巩固、考前模拟实战
免费体验自考365海量试题

新人有礼