学历改变命运
24小时客服:4008135555/010-82335555
当前位置:首页> 公共课 > 自考《线性代数(经管类)》试题练习:行列

自考《线性代数(经管类)》试题练习:行列式的计算(7.4)

2013年07月04日    来源: 自考365   字体:   打印
成绩查询

  单选题

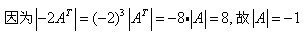
  1.设3阶矩阵A的行列式,

  

  A.4

  B.1

  C.-1

  D.-4

       

  查看专家点评以往试题可进入“每日一练——免费在线测试系统”>>

关注添加

扫码加入备考交流群

与更多考生一起交流学习经验
备战考试,获取试题及资料

扫码下载APP

海量历年试题、备考资料
免费下载领取

扫码进入微信小程序

每日练题巩固、考前模拟实战
免费体验自考365海量试题

新人有礼