自考《概率论与数理统计(经管类)》试题练习:区间估计(7.2)
单选题
1.[2012年1月]
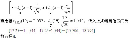
从一个正态总体中随机抽取n=20的一个随机样本,样本均值为17. 25,样本标准差为3.3,则总体均值的95%的置信区间为
A.(15. 97,18. 53)
B.(15. 71,18. 79)
C.(15. 14,19. 36)
D.(14. 89,20. 45)
正确答案:B
答案解析:本题考查区间估计。已知本题为“单正态总体,方差未知,期望的估计”,应选择t-统计量,置信区间为
编辑推荐




