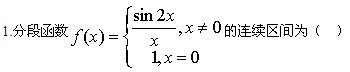
自考《高等数学(工专)》试题练习:连续的概念(7.2)
单选题

A.f(x)在(-∞,1)上连续
B.f(x)在(-1,+∞)上连续
C.f(x)在(-∞,0)∪(0,+∞)上连续
D.f(x)在(-∞,+∞)上连续
正确答案:C
答案解析:本题考查连续的概念。

编辑推荐
单选题

A.f(x)在(-∞,1)上连续
B.f(x)在(-1,+∞)上连续
C.f(x)在(-∞,0)∪(0,+∞)上连续
D.f(x)在(-∞,+∞)上连续
正确答案:C
答案解析:本题考查连续的概念。
