自考《高等数学(工专)》试题练习:等价无穷小(5.3)
单选题
1.当x→0时,xln(x+1)是( )。
A.与xsinx等价的无穷小。
B.与xsinx同阶非等价的无穷小。
C.比xsinx高阶的无穷小。
D.比xsinx低阶的无穷小。
正确答案:A
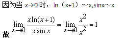
答案解析:本题考查等价无穷小。

编辑推荐
单选题
1.当x→0时,xln(x+1)是( )。
A.与xsinx等价的无穷小。
B.与xsinx同阶非等价的无穷小。
C.比xsinx高阶的无穷小。
D.比xsinx低阶的无穷小。
正确答案:A
答案解析:本题考查等价无穷小。
