学历改变命运
24小时客服:4008135555/010-82335555
当前位置:首页> 公共课 > 2012年自考《高等数学(工专)》每日一练(

2012年自考《高等数学(工专)》每日一练(10.9)

2012年10月09日    来源: 自考365   字体:   打印
报名时间

  单选题

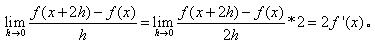
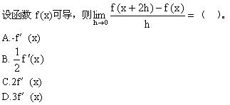
  1.[2004.7]

  

       

  查看专家点评以往试题可进入“每日一练——免费在线测试系统”>>

新人有礼