学历改变命运
24小时客服:4008135555/010-82335555
当前位置:首页> 公共课 > 2012年自考《高等数学(工专)》每日一练(

2012年自考《高等数学(工专)》每日一练(9.24)

2012年09月24日    来源: 自考365   字体:   打印
成绩查询

  单选题

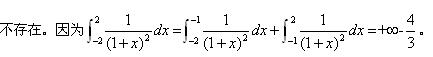
  1、【2003.1】

  

       

  查看专家点评以往试题可进入“每日一练——免费在线测试系统”>>

新人有礼