学历改变命运
24小时客服:4008135555/010-82335555
当前位置:首页> 公共课 > 2012年自考《高等数学(一)》每日一练(9.

2012年自考《高等数学(一)》每日一练(9.13)

2012年09月13日    来源: 自考365   字体:   打印
报名时间

  单选题

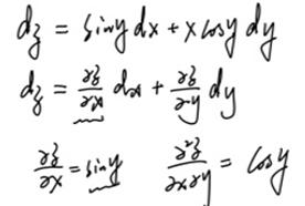
  1、【2010.10】若函数z=z(x,y)的全微分dz=sinydx+xcosydy,则二阶偏导数

  A.-sin x

  B.sin y

  C.cosx

  D.cosy

       

  查看专家点评以往试题可进入“每日一练——免费在线测试系统”>>

新人有礼