学历改变命运
24小时客服:4008135555/010-82335555
当前位置:首页 > 笔记串讲 > 自考《线性代数(经管类)》试题练习:正定

自考《线性代数(经管类)》试题练习:正定的概念(9.15)

2014年09月15日    来源:自考365   字体:   打印

  单选题

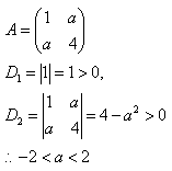
  若f(x1,x2)=x12+2ax1x2+4x22正定,则有( )

  A.a>2

  B.a< 2

  C.-2< a<2

  D.0< a< 2