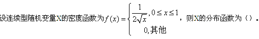
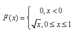
单选题
A.
B.
C.
D.
正确答案:D
答案解析:
查看专家点评、以往试题可进入“每日一练——免费在线测试系统”>>
中国近现代史纲要
14888人已购买
马克思主义基本原理
23888人已购买
政治经济学(财经类)
13950人已购买
思想道德与法治
22999人已购买
英语(专)
26000人已购买
英语(专升本)
14688人已购买
自考报名
专升本报名
成人高考
夜大/电大
网络教育报名
其它报名
关注添加
扫码加入备考交流群
与更多考生一起交流学习经验备战考试,获取试题及资料
扫码下载APP
海量历年试题、备考资料免费下载领取
扫码进入微信小程序
每日练题巩固、考前模拟实战免费体验自考365海量试题