学历改变命运
24小时客服:4008135555/010-82335555
当前位置:首页 > 笔记串讲 > 自考《线性代数(经管类)》试题练习:向量

自考《线性代数(经管类)》试题练习:向量(9.09)

2015年09月09日    来源:自考365   字体:   打印

  单选题

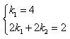
  1.设向量组α1=(1,2),α2=(0,2),β=(4,2),则( )

  A.α12,β线性无关

  B.β不能由α12线性表示

  C.β可由α12线性表示,但表示法不惟一

  D.β可由α12线性表示,且表示法惟一

  

关注添加

扫码加入备考交流群

与更多考生一起交流学习经验
备战考试,获取试题及资料

扫码下载APP

海量历年试题、备考资料
免费下载领取

扫码进入微信小程序

每日练题巩固、考前模拟实战
免费体验自考365海量试题