自考《概率论与数理统计(经管类)》试题练习:置信区间(2.26)
单选题
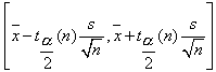
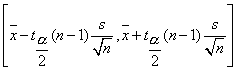
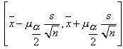
1.设总体X服从正态分布N(μ,σ2),其中μ,σ2未知,则总体均值μ的置信度1-α的置信区间为( )
A.
B.
C.
D.
- 热门课程
- 报名咨询
相关资讯
- 自考《概率论与数理统计(经管类)》真题练习:条件概率(2.28)
- 自考《概率论与数理统计(经管类)》真题练习:概率(2.27)
- 自考《概率论与数理统计(经管类)》真题练习:条件概率(2.23)
- 自考《概率论与数理统计(经管类)》真题练习:概率(2.8)
- 自考《概率论与数理统计(经管类)》真题练习:概率(2.7)
- 自考《概率论与数理统计(经管类)》真题练习:概率(2.6)
- 自考《概率论与数理统计(经管类)》真题练习:概率(2.5)
- 自考《概率论与数理统计(经管类)》真题练习:对立事件(2.4)
- 自考《概率论与数理统计(经管类)》真题练习:概率(2.2)
- 自考《概率论与数理统计(经管类)》真题练习:检验统计量(1.29)



