单选题
1.
A.
B.
C.
D.
正确答案:A
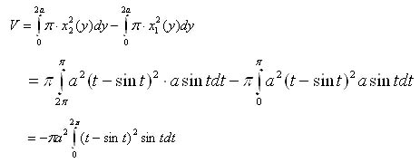
答案解析:
查看专家点评、以往试题可进入“每日一练——免费在线测试系统”>>
中国近现代史纲要
14888人已购买
马克思主义基本原理
23888人已购买
政治经济学(财经类)
13950人已购买
思想道德与法治
22999人已购买
英语(专)
26000人已购买
英语(专升本)
14688人已购买
自考报名
专升本报名
成人高考
夜大/电大
网络教育报名
其它报名
扫码领取试题答案及解析
报考咨询
免费资料
学习交流