2019年4月《线性代数(经管类)》自考试题:填空题14
2020年自考备考已经开始,自考历年试题对考生来说是十分宝贵的资料,考前每道试题至少要做1-2遍才会事半功倍。自考365网给大家整理了2018年4月自考《线性代数(经管类)》试题及答案解析,一起来试试吧!
扫码入群>>获取自考公共课全套试题及答案解析
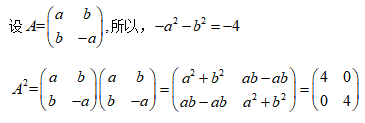
14.设2阶实对称矩阵A的特征值为-2,2,则
=_________.
查看答案解析
自考365提供从报名到毕业一站式服务!【点击咨询>> 】
你可能喜欢
- 热门课程
- 报名咨询
相关资讯




